分享
AI响应代码流程设计
输入“/”快速插入内容
AI
响应代码流程设计
用户79
用户79
2023年11月15日修改
框架方式一(适用于azure和chatgpt)
画板
框架方式二(适用于任何LLM)
画板
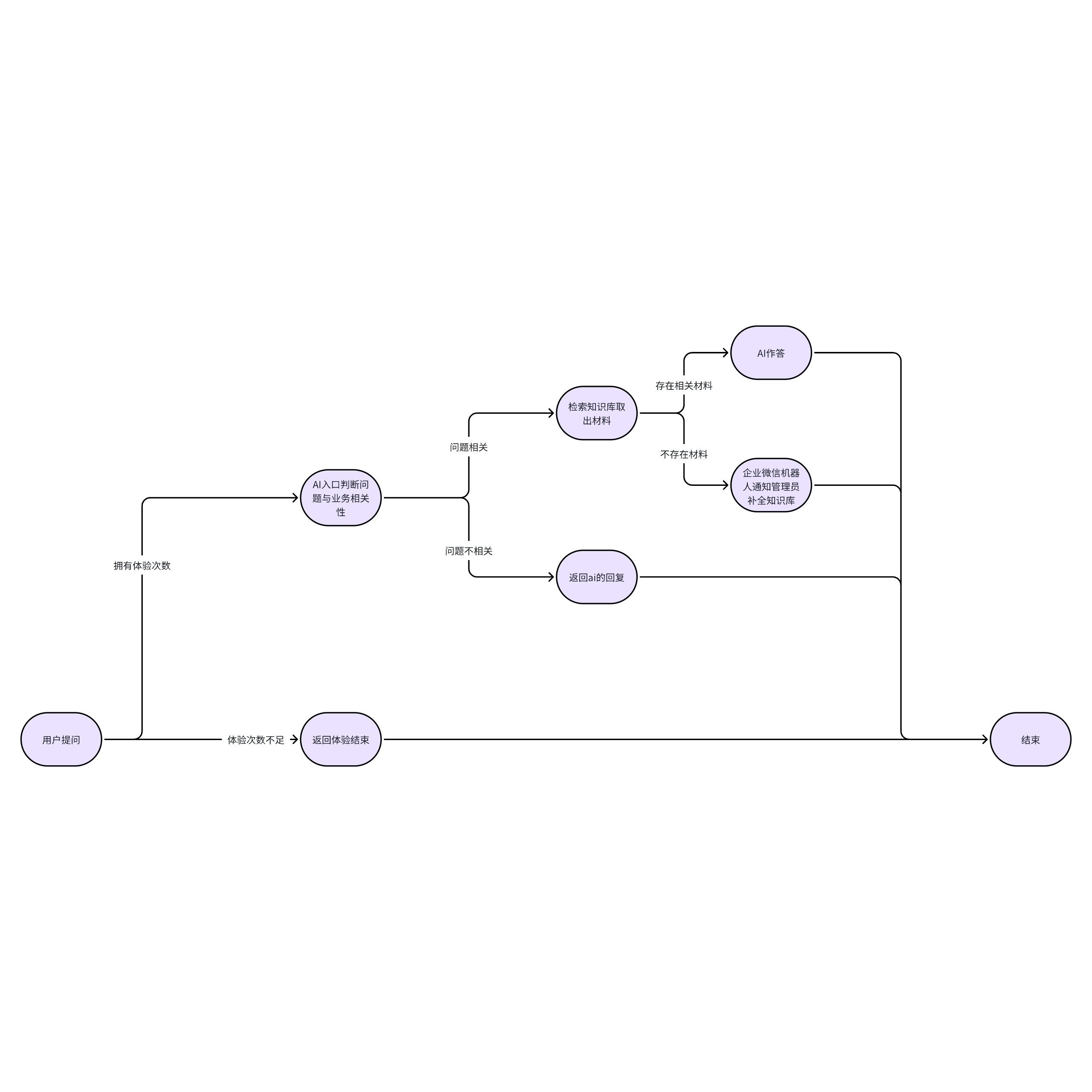
示例场景流程图
画板
数据模型
*
actionflow
(框架自定义行为,开发者表)
1.
name
<文本>
(框架自定义行为名称,必须唯一)
2.
jscode
<文本>
(框架自定义行为代码)
3.
actionflow_dir
<文本>
(路径目录)
4.
attach_data
<jsonb>
(自定义行为附加数据,可选配置项)
5.
parameters
<jsonb>
(入参结构描述,可选配置项)
6.
returns
<jsonb>
(返回结构描述,可选配置项)
7.
describe
<文本>
(自定义行为功能描述,可选配置项)
*system(系统配置表,至少存在一条数据)
1.
name
<文本>
(系统名称)
2.
actionflow_id
<文本>
(自定义行为框架id)
3.
actionflow_config
<jsonb>
(系统配置,结构示例)
a.
is_errlog
<布尔值>
(是否记录错误日志,配置为true时请确保建立errlog表)
b.
is_binlog
<布尔值>
(是否记录操作日志,配置为true时请确保建立binlog表)
4.
attach_config
<jsonb>
(附加自定义配置)
5.
attach_config_json_schema
<jsonb>
(附加自定义配置结构描述,可选配置项)
*errlog(错误日志记录,开发者表)
1.
title
<文本>
(错误标题)
2.
content
<文本>
(错误内容)
3.
attach_data
<jsonb>
(附加数据)
*binlog(操作日志记录,开发者表)
1.
actionflow_name
<文本>
(自定义行为名称)
2.
payload
<jsonb>
(入参内容)
3.
response
<jsonb>
(执行结果内容)
chatroom(聊天室)
1.
title
<文本>
(聊天室标题,描述体现该聊天室
ai
机器人的功能,eg:专业的数据分析工程师)
2.
prompt
<文本>
(
AI
系统功能预设,会以system角色自动放入messages第一条,eg:You are an expert data analyst who is very skilled at Postgresql...)
3.
last_summarize_id
<整数>
(上一条总结对话的id,值存在时会获取chatroom_dialog的主键id大于等于该值的所有对话记录来组合messages进行提问)
chatroom_dialog(聊天室对话信息)
1.
chatroom_chatroom
[n:1](哪一个聊天室的对话信息)
2.
role
<文本>
(角色)可选值:
a.
user
b.
assistant
3.
content
<文本>
(内容)
chatroom_dialog_process(对话的内容生成的详细过程)
1.
chatroom_dialog_chatroom_dialog
[n:1](哪一条对话的生成流程)
2.
last_summarize_id
<整数>
(生成当前过程时的总结id,任何时候可以通过该id与chatroom_dialog.id动态组合messages)
3.
response
<jsonb>
(响应结果)
4.
prompt_tokens
<整数>
(输入token消耗)
5.
completion_tokens
<整数>
(输出token消耗)
6.
total_tokens
<整数>
(总计token消耗)
有疑问可以评论~